Jawapan Matematik Tingkatan 4 Kssm Bab 1

Jawapan matematik tingkatan 4 kssm bab 1 proposal penelitian jawapan matematik tingkatan 4 kssm bab 1 manfaat jawapan matematik tingkatan 4 kssm baby jawapan buku matematik tingkatan 4 jawapan matematik tingkatan 4 buku teks 2020 jawapan matematik tingkatan 5 jawapan matematik buku teks tingkatan 1 jawapan matematik tambahan tingkatan 5 skema jawapan matematik pt3

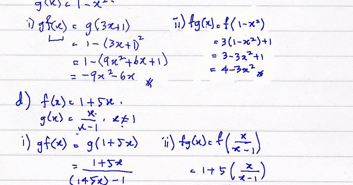
Jawapan Matematik Tingkatan 4 Kssm Bab 1. Kemudian baru menyemak jawapan dengan merujuk video ini. Matematik tingkatan 4 kssm latihan praktis kendiri 1.1f | todo my.

Galus Bitara Spm Matematik Tingkatan 4 Kssm Unduh Buku 1 49 Halaman Anyflip
Galus Bitara Spm Matematik Tingkatan 4 Kssm Unduh Buku 1 49 Halaman Anyflip from online.anyflip.com
Video ini menerangkan langkah kerja untuk menyelesaikan soalan pada buku teks matematik tingkatan 4 kssm, latihan praktis komprehensif bab 3 . Matematik tingkatan 4 kssm latihan praktis kendiri 1.1c | todo my. Buku latihan riang belajar kssm matematik tambahan tingkatan 4 shopee .

Kuasa tertinggi ialah 3 3.

Buku latihan riang belajar kssm matematik tambahan tingkatan 4 shopee . Bab 1 matematik tingkatan 4. 1.1 fungsi dan persamaan kuadratik. Tips addmath nak lulus matematik tambahan spm target 12 bab ini sayidahnapisahdotcom.

https://muharramm.omdo.my.id/

.

Jawapan Matematik Tingkatan 4 Kssm Bab 1. There are any Jawapan Matematik Tingkatan 4 Kssm Bab 1 in here.